String
- string : 문자들로 구성된 배열. s[0], s[1], ..., s[n-1], [\n0]
- Substring(부분문자열): S의 i번~j번의 연속된 글자로 구성된 문자열: s[i...j]
- cf)Subsequence(부분 수열): 문자열의 일부 글자가 원래 순서 유지하며 나열된 형태. 연속적이진 않지만 중간중간 뽑아내서 나열.
- prefix(접두사): S의 0번 글자부터 a번 글자까지 구성된 부분 문자열
- suffix(접미사): S의 a번 글자부터 끝까지로 구성된 부분 문자열
Hash
- 임의 길이의 데이터(ex. 문자열)를 고정된 길이의 데이터(ex. 정수)로 매핑하는 함수
- 해싱(hashing): 키(key, 매핑 전 데이터)를 값(hash value, 매핑 후 데이터)으로 매핑
- 해시테이블이라는 자료구조에 키(data), 해시값(index) 저장.
- 버킷(bucket)(슬롯(slot))에 데이터 저장
- 장점
- 적은 자원으로 많은 데이터를 효율적으로 관리 가능
- index에 해시값을 사용 → 모든 데이터를 살피지 않고 검색, 삽입, 삭제를 빠르게 수행 가능
- 계산복잡성 O(1) 지향
- 키와 해시값 사이에 직접적인 연관이 없어 보안에 좋음
- 길이가 서로 다른 입력 데이터에 대해 일정한 길이의 출력을 만들어 '데이터 축약' 기능 수행 가능
- many-to-one 으로 대응 → 다른 데이터가 같은 해시 값으로 매핑되어 충돌되는 해시 충돌(Hash Collision) 발생
- 해시 충돌 해결법
- Chaining
- 한 버킷당 들어갈 수 있는 엔트리의 수에 제한을 두지 않고 연결리스트로 체인처럼 노드를 추가해나가는 방식
- 장점) 유연함
- 단점) 메모리 문제 야기 가능
- 시간복잡도: 삽입 - O(1) / 검색, 삭제 - O(1) (최악의 경우 O(n))

- Open Addressing
- 해시 함수로 얻은 주소가 아닌 다른 주소에 데이터를 저장할 수 있도록 허용(이미 다른 데이터가 저장되어 있으면 다음 버킷에 저장)
- 장점) 메모리 문제가 발생하지 않음(비어있는 테이블의 공간을 활용하기 때문)
- 단점) 해시 충돌 발생 가능 → 해시테이블 내 새로운 주소를 찾는 탐사(probing)로 해결
- 선형 탐사: 정해진 고정 폭으로 옯겨 해시값의 중복을 피함
- 제곱 탐사: 정해진 고정 폭을 제곱수로 옮겨 해시값의 중복을 피함
- 시간복잡도: 탐사 횟수에 비례
- 해시함수
- 특정 값에 치우치지 않고 해시값을 고르게 만들어내는 좋은 해시함수를 이용
- division method: 숫자로 된 키를 해시테이블의 크기로 나눈 나머지를 해시값으로 반환
- universal hashing: 다수의 해싱함수를 만들고, 해시함수의 집합에서 무작위로 해시함수를 선택해 해시값을 만드는 기법
- Chaining
- 해시 충돌 해결법
Finite State Machine & Pattern matching
- 𝑆의 부분문자열을 입력으로 하고, 상태를 패턴의 매칭 수로, 상태 전이는 패턴마다의 알파벳으로 설정하면 유한 상태 기계를 통해 패턴매칭을 시도 가능
- FSM 이용
- 정규표현식(Regular Expression) : 특정한 규칙을 가진 문자열의 집합을 표현할 때 사용하는 식
- Knuth-Morris-Pratt(KMP) 알고리즘 : 해싱과 달리 확률론적이지 않은 패턴매칭 알고리즘. 모든 경우를 다 비교하지 않아도 부분 문자열을 찾을 수 있음
- 접두사, 접미사 활용해 매칭할 문자열 점프하는 방법.
- 일대일 문자열 패턴 매칭
- KMP 코드s
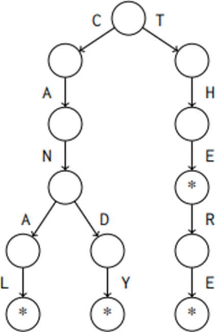
Trie
- 검색(retrieval)의 줄임말. 각 노드가 배열로 이뤄진 트리
- 장점) 문자열 탐색 시 O(1)
- 단점) 상수 시간의 실행 시간 제공 위해 메모리 과다 사용
- Aho-Corasick(아호-코라식) 알고리즘에 사용됨
- 일대일이 아닌 일대다 문자열 패턴 매칭
- KMP의 확장


참고 링크
'KNOWLEDGE > 자료구조' 카테고리의 다른 글
| [Data Structure] B Tree, B+ Tree (0) | 2022.07.05 |
|---|---|
| [Data Structure] Binary Search Tree (0) | 2022.07.03 |
| [Data Structure] Tree, Binary Tree (+heap) (0) | 2022.07.02 |
| [Data Structure] 선형 자료구조: Stack, Queue, Priority Queue, Deque (0) | 2022.07.01 |
| [Data Structure] ArrayList vs LinkedList (0) | 2022.06.30 |
댓글